• +7 701 537 76 67

Механическое движение. Прямолинейное равномерное движение.

Основные термины:

Механическое движение — это изменение положения тела в пространстве, относительно других тел с течением времени. По характеру движения точек различают три вида движения: a) поступательное — это движение, при котором все точки тела движутся одинаково и любая прямая, мысленно проведенная в теле, остается параллельна сама себе; б) вращательное движение, при котором все точки тела движутся по окружностям; в) колебательное движение — движение, которое повторяется или почти повторяется. По виду траектории различают прямолинейное и криволинейное движения (частный случай криволинейного движения - движение по окружности); по скорости - равномерное и неравномерное; по ускорению - равноускоренное, равнозамедленное, ускоренное.

Основная задача механики — определять положение тела в пространстве в любой момент времени.

Материальная точка — это тело, размерами которого можно пренебречь в условиях данной задачи. Тело можно принять за материальную точку, если оно движется поступательно или если его размеры много меньше расстояний, которые тело проходит. Систему отсчета вводят для того, чтобы задать положение материальной точки в пространстве. В нее входят: тело отсчета (любое тело), система координат (одномерная, двухмерная или трехмерная) и часы (начало отсчета времени совпадает с началом движения тела).

Траектория - линия, вдоль которой движется тело.

Путь \(l (м)\) - длина траектории.

Перемещение \(s (м)\) - это вектор, соединяющий начальное положение тела с конечным. Обычно \(l>s\) . Если тело движется по прямой \(l=s\)

график

Проекции вектора перемещения на оси координат

график
Проекция вектора перемещения на ось \(OX\): \(s_x=x-x_0\)
Проекция вектора перемещения на ось \(OY\): \(s_y=y-y_0\)
Проекция вектора на ось равна нулю, если вектор перпендикулярен оси.

Знаки проекций перемещения: проекцию считают положительной, если движение от проекции начала вектора к проекции конца происходит по направлению оси, и отрицательной, если против оси. В данном примере \(s_x > 0; \quad s_y \leq 0\)
Модуль перемещения - это длина вектора перемещения: \(|\vec{s}|=s\)
По теореме Пифагора: \(s=\sqrt{s^2_x+s^2_y}\)   или   \(s=\sqrt{(x-x_0)^2+(y-y_0)^2}\)
Проекция перемещения и угол наклона  \(s_x=\pm s \cos \alpha; \quad \quad s_y=\pm s \sin \alpha\)


Равномерное прямолинейное движение

Равномерное прямолинейное движение - движение, при котором тело за любые равные промежутки времени, совершает равные перемещения.

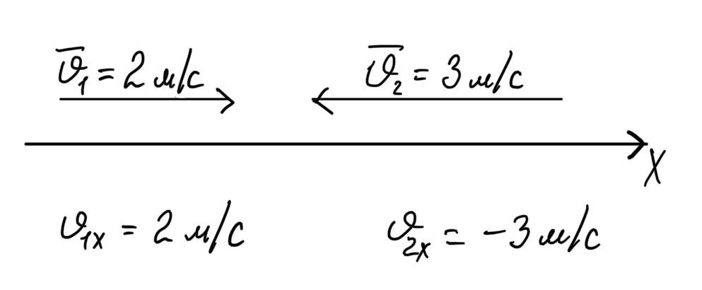
Скорость \(v (м/с)\) — векторная физическая величина, которая показывает, какое перемещение совершает тело за единицу времени. В векторном виде:   \(\vec{v}=\frac{\vec{s}}{t}\)

В проекциях на ось OX:   \(v_x=\frac{s_x}{t}=\frac{\Delta x}{\Delta t}\)

Измерительный прибор - спидометр - показывает модуль скорости.

Знак проекции скорости зависит от направления вектора скорости и оси координат:

график

График координаты - зависимость координаты тела от времени:   \(x=x_0+v_xt \)

график

Относительность механического движения.

Под относительностью механического движения мы понимаем зависимость чего-либо от выбора системы отсчета. Например покой относителен, движение относительно и положения тела относительно.

Правило сложения скоростей. Векторная сумма скоростей:   $$\vec{v’} = \vec{v}+\vec{u}$$

где   \(\vec{v}\) - скорость тела относительно подвижной системы отсчета (ПСО),
\(\vec{u}\) - скорость ПСО относительно неподвижной системы отсчета (НСО),

\(\vec{v’}\)- скорость тела относительно неподвижной системы отсчета (НСО).

Неравномерное движение

Неравномерное движение - движение с переменной скоростью. Является самой распространенным видом движения.

Средняя скорость:   $$v_{ср}=\frac{s}{t}=\frac{s_1+s_2+...+s_n}{t_1+t_2+...t_n}$$

\(s\) - весь путь,   \(t\) - все время.


Примеры решения задач

1. Автобус из Алматы до Сарыозека прошел 180 км за 2,5 ч. Считая движение автобуса равномерным, нужно найти его скорость в Международной системе единиц.

\(Дано:\)
\(s = 180\ км = 180000\ м = 18 \cdot 10^4 м\)
\(v = 2.5\ ч = 2,5 \cdot 60 \cdot 60\ с = 9000\ с = 9 \cdot 10^3\ с\)

Найти: \(v = ?\)
\(Решение:\)
Автобус совершает равномерное движение. Следовательно, его скорость определяется по формуле $$ v =\frac{s}{t} = \frac{18 \cdot 10^4 м}{9 \cdot 10^3\ с} = 2 \cdot 10\ м/с = 20\ м/с$$
\(Ответ: v = 20\ м/с\)

2. Автомобиль первые 40 мин двигался со скоростью 60 км/ч, следующие 20 мин – со скоростью 30 км/ч. Какова средняя скорость автомобиля в м/с?

\(Дано:\)
\(t_1 = 40\ мин = 2400\ с\)
\( v_1 = 60\ км/час = 17\ м/с\)
\( t_2 = 20\ мин = 1200\ с\)
\( v_1 = 30\ км/час = 8\ м/с\)

Найти: \(v_{ср} = ?\)
\(Решение:\)
Автомобиль двигался неравномерно с разной скоростью. В первой половине пути он двигался равномерно со скоростью  \(v_1\) , а на второй половине – также равномерно, но с другой скоростью  \(v_2\) . Следовательно, пройденный путь на первой половине дороги определяется по формуле:   \(s_1=v_1 \cdot t_1\), а на второй половине –   \(s_2=v_2 \cdot t_2\). Средняя скорость неравномерного движения определяется путем деления всего пройденного пути   \(s=s_1 + s_2\)   на суммарное время, затраченное на первой и второй частях дороги   \(t= t_1 + t_2\)
$$v_{ср} = \frac{s}{t} = \frac{s_1 + s_2}{t_1 + t_2} = \frac{v_1 \cdot t_1 + v_2 \cdot t_2}{t_1+t_2}=\frac{17 \cdot 2400 + 8 \cdot 1200}{2400 + 1200} = \frac{50400\ м}{3600\ с} = 14\ м/с$$
\(Ответ: v_{ср} = 14\ м/с\)

3. Автоколонна длиной 2 км движется со скоростью 40 км/ч. Мотоциклист выехал из хвоста колонны со скоростью 60 км/ч. За какое время он достигнет головной машины?

\(Дано:\)
\( s = 2\ км\)
\( v_1 = 60\ км/час\)
\( v_2 = 40\ км/час\)

\(Найти: t = ?\)
\(Решение:\)
В решении данной задачи перевод данных в систему СИ может осложнить работу с цифрами, поэтому для начала оставим их в изначальном виде и переведем лишь полученный ответ. Движение мотоциклиста является равномерным, поэтому для подсчета времени достижения головной машины можно найти по следующей формуле:  \(t = \frac{s}{v}\)
Но движение рассматривается относительно точки которая также находится в движении. Поэтому скорость v из формулы выше, это скорость мотоциклиста относительно колонны и для ее подсчета суммируем векторно скорости мотоциклиста и колонны.  \(\vec{v} = \vec{v_1} + \vec{v_2}\)
С учетом направлений векторов получим следующую формулу:   \(v = v_1 - v_2\) $$t = \frac{s}{v} = \frac{s}{v_1-v_2} = \frac{2\ км}{(60\ -\ 40)\ км/час} = 0.1\ ч= 360\ с $$
\(Ответ: t =360\ с\)